Dopamine: DoomScrolling - Detailed Bio Hacking Protocol Overview
33🧬Bio Hacking

Dopamine: DoomScrolling

Action Protocol

No screens 1hr post/pre-sleep. Delete apps AND accounts. Install blockers. Disable notifications.

Evidence Gallery

Dopamine: DoomScrolling Scientific Evidence Chart 1
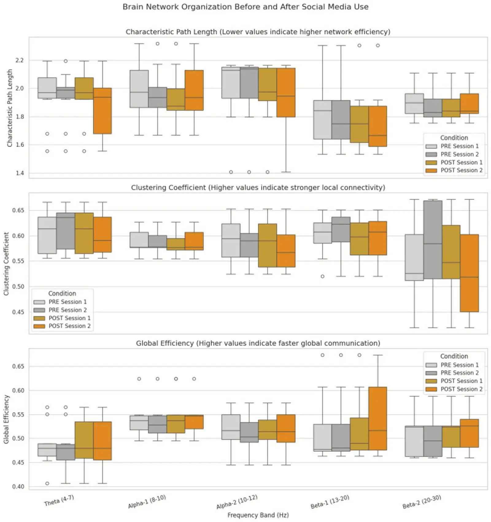
Dopamine: DoomScrolling Scientific Evidence Chart 2
Dopamine: DoomScrolling Scientific Evidence Chart 3

In Depth Protocol

  • The Algorithm Hijack: Your smartphone's variable-reward algorithm is actively hijacking your mesolimbic pathway, creating a chronic dopamine deficit. Willpower is useless against machine learning; you must engineer physical friction.
  • The Vesicle Depletion: The brain operates on a delicate balance. High "phasic spikes" (instant digital rewards) rapidly deplete your dopamine vesicles. This directly lowers your "tonic baseline" (daily drive), leading to severe anhedonia where hard work feels impossible (Termann, 2025).
  • Brain Network Alteration: Infinite scrolling interfaces actively weaken inhibitory control in the prefrontal cortex and alter global brain network efficiency, making it neurologically harder to stop scrolling (Termann, 2025).
  • The Actionable Protocol: * No screens 1 hour after waking to protect your morning cortisol/dopamine baseline, and 1 hour before bed.
    • Delete native apps. Use the mobile web browser or install modified APKs that strip out the infinite "Reels/Shorts" UI.
    • Disable all push notifications. Use apps like AppBlock to lock your feeds.
  • Nuclear Protocol: Delete the accounts (X, TikTok, Instagram). For the Brave.

✅ Pros

  • Restores baseline drive, making deep work rewarding again.
  • Fixes sleep architecture and stops late-night cortisol spikes.
  • Reclaims hours by eliminating variable-reward traps.

⚠️ Cons

  • Intense initial withdrawal (anxiety/FOMO) during the first 24 hours.
  • Social friction from delayed messaging.
Dopamine: DoomScrolling | Base Protocols