Cold Showers - Detailed Bio Hacking Protocol Overview
3🧬Bio Hacking

Cold Showers

Action Protocol

Take a 2-minute cold shower early in the morning to elevate focus and metabolism.

Evidence Gallery

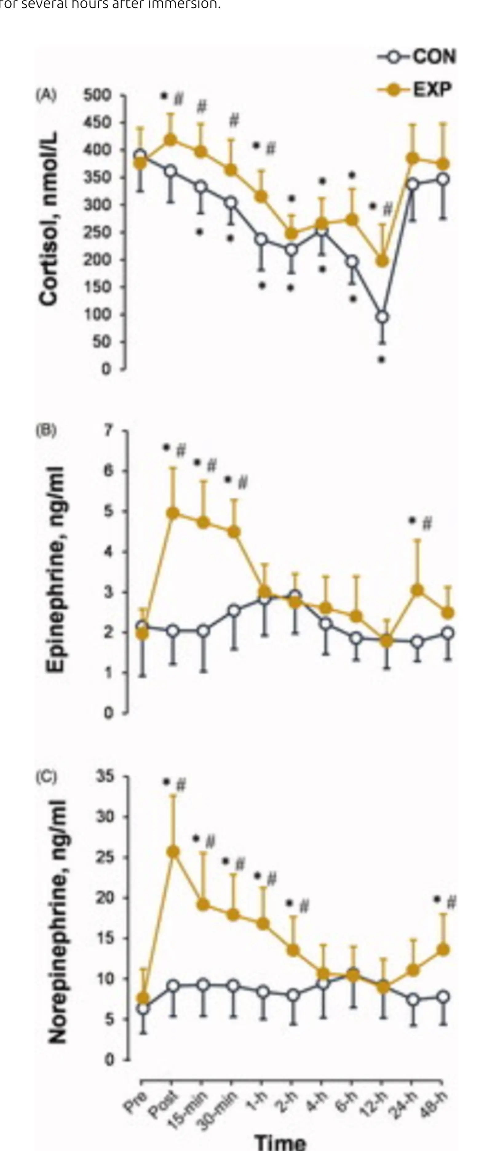
Cold Showers Scientific Evidence Chart 1
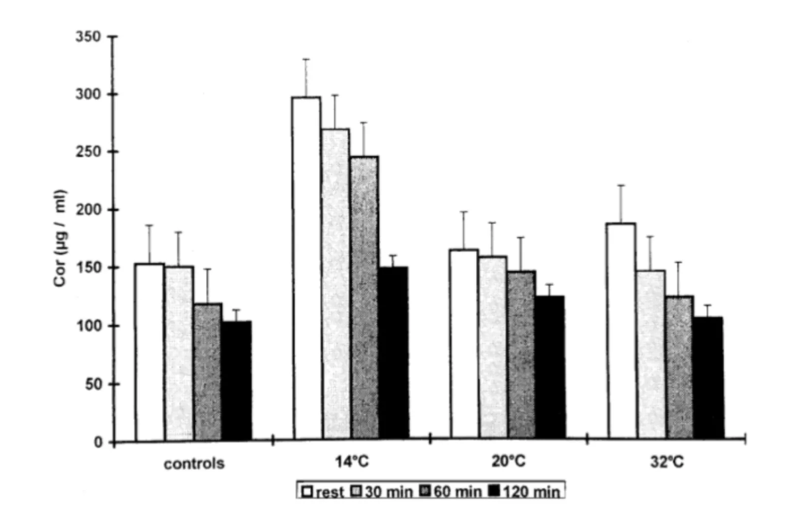
Cold Showers Scientific Evidence Chart 2
Cold Showers Scientific Evidence Chart 3

In Depth Protocol

  • The Neurochemical Shock: Cold exposure acts as a potent biological stressor, triggering a sustained 250% increase in both dopamine and norepinephrine.
  • Focus & Mood: This "causal chain" elevates focus and mood for several hours after the initial exposure, providing a natural cognitive edge.
  • Metabolic Activation: Cold exposure activates brown adipose tissue (brown fat), which burns energy to generate heat, effectively boosting your resting metabolism.
  • The Weekly Target: To unlock these lasting bio-energetic shifts, aim for 11 total minutes of cold exposure per week, typically broken down into 2-3 minute sessions.

✅ Pros

  • Boosts sustained dopamine by 250% above baseline
  • Ignites metabolism through brown fat activation
  • Enhances mental resilience and psychological "grit"

⚠️ Cons

  • Unsafe for if you have heart conditions

Sources & Verification

Reviewed by Tomas|Last updated: 11/30/2025