Calisthenics - Detailed Gym Protocol Overview
34💪Gym

Calisthenics

Action Protocol

Buy a pull-up bar. Do push-ups and pull-ups, levers, pistol squats. Train outside. Equal gains.

Evidence Gallery

Calisthenics Scientific Evidence Chart 1
Calisthenics Scientific Evidence Chart 2
Calisthenics Scientific Evidence Chart 3

In Depth Protocol

The ROI of Fitness: The highest ROI in fitness is found in long-term adherence, lean body composition, and foundational core strength and stability.

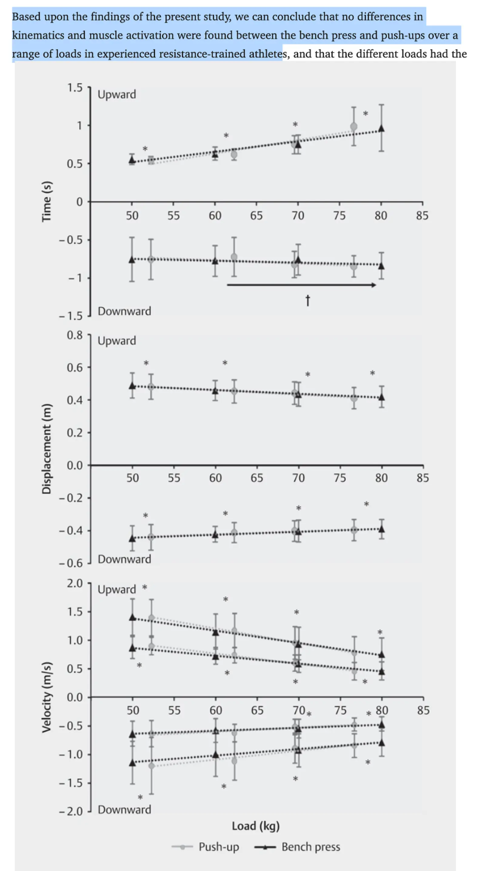
  • Hypertrophy Equivalence: When effort is matched near failure, push-ups and bench presses yield statistically identical increases in chest and triceps hypertrophy (Kikuchi & Nakazato, 2017). There is zero difference in displacement, velocity, or overall muscle activation between the two movements (van den Tillaar, 2019).
  • Neuromuscular Mastery: Gym machines typically use "open kinetic chains" (moving an external object). In contrast, calisthenics relies on "closed kinetic chains" (moving your body against fixed hands/feet), which demands massive core stabilization and joint proprioception (Karandikar & Vargas, 2011). Specific hand placements (e.g., diamond push-ups vs. dips) force complex neuromuscular shifts between the triceps and pectorals.
  • Body Composition: While weightlifting measures absolute strength, calisthenics measures relative strength (strength-to-weight ratio). Because carrying excess non-functional fat acts as an immediate mechanical penalty in bodyweight movements, this protocol naturally drives your body composition toward extreme leanness.

✅ Pros

  • Zero gym friction; maximizes adherence.
  • Matches barbell chest/triceps growth exactly.
  • Penalizes fat mass, favoring lean body composition.

⚠️ Cons

  • Non-linear progression (leverage vs. adding plates).
  • Inferior for maximizing absolute lower-body mass.
  • Harder to isolate specific lagging muscles.